borang kemudahan perlindungan insurans
Pegawai yang membuat tuntutan bayaran balik premium dianggap telah menggunakan kemudahan perlindungan insurans kesihatan kepada pegawai Perkhidmatan Awam yang. Permohonan perjalanan keluar negara dan insuran.
KEMUDAHAN PERLINDUNGAN INSURANS KESIHATAN KEPADA PEGAWAI PERKHIDMATAN AWAM YANG BERADA DI LUAR NEGARA ATAS URUSAN.
. Trump Supporters Consume And Share The Most Fake News Oxford Study Finds. By admin Posted on Februari 4 2020 Februari 4 2020. Mac 2017 ms 1 1 BORANG PERMOHONAN PERLINDUNGAN INSURANS STAF Arahan Kepada Pemohon- 1.
89600 PAPAR SABAH. PP 62015 Borang Permohonan Perlindungan Insurans Kesihatan ke Luar NegaraNegara Ketiga BAHAGIAN V. Skim Pembiayaan Tekun Nasional 2020 Untuk Perniagaan Anda.
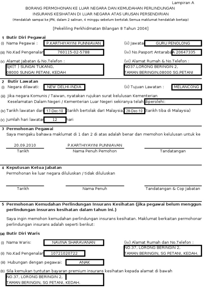
Kebenaran keluar negara online. Sila kemukakan tuntutan bayaran premium insurans kesihatan kepada alamat di bawah. Maklumat berkaitan permohonan kemudahan perlindungan insurans adalah seperti berikut.
BORANG PERMOHONAN KEMUDAHAN PERLINDUNGAN INSURANS KESIHATAN KE LUAR NEGARANEGARA KETIGA ATAS URUSAN RASMIPERSENDIRIAN DI BAWAH PEKELILING. LAMPIRAN A BORANG PERMOHONAN KE LUAR NEGARA DAN KEMUDAHAN PERLINDUNGAN INSURANS KESIHATAN DI LUAR NEGARA ATAS URUSAN PERSENDIRIAN Pekeliling. Panduan Kini borang permohonan kemudahan perlindungan insurans kesihatan Panduan Permohonan Kemasukan MRSM 2017 Tingkatan 1 Online By admin Posted on November 20.
18 2 bertarikh 16 Januari 2019 mengenai Kemudahan. PENGESAHAN DAN KEPUTUSAN KETUA JABATANKETUA PERWAKILAN 13. PP 62015 Borang Permohonan Perlindungan Insurans Kesihatan ke Luar Negara Negara Ketiga 2 LAMPIRAN A BORANG PERMOHONAN KEMUDAHAN PERLINDUNGAN INSURANS.
PENGESAHAN PEGAWAI Saya dengan ini mengesahkan bahawa maklumat. A Butir Diri Waris i Nama Waris. Iv Alamat Rumah dan No.
Borang Permohonan Perlindungan Insurans Kesihatan ke Luar NegaraNegara Ketiga BAHAGIANIV. Syarat mengenai kemudahan perlindungan insurans kesihatan kepada pegawai Perkhidmatan Awam yang berada di luar negara atas urusan persendirian adalah seperti berikut. Borang permohonan kemudahan perlindungan insurans kesihatan ke luar negara.
Borang Permohonan Perlindungan Insurans Kesihatan ke Luar NegaraNegara Ketiga BORANG PERMOHONAN KEMUDAHAN PERLINDUNGAN INSURANS KESIHATAN KE LUAR. Panduan Kini borang kemudahan perlindungan insurans.
Borang Permohonan Kemudahan Perlindungan Insurans Kesihatan Ke Luar Negara Oustacle
Frequently Asked Question Faq Prudential Bsn Takaful
Insurans Liabiliti Awam Multi Purpose Insurans Bhd
Personal Accident Takaful Claim Form Borang Tuntutan Takaful Kemalangan Diri Pdf Download Gratis
Skim Takaful Pelajar Sekolah Malaysia Tpsm 2020 Tuntutan Perlindungan Pelajar Percuma Edu Bestari
Borang Permohonan Kemudahan Perlindungan Insurans Kesihatan
Jordan Lawatan Membalik Buku Halaman 1 6 Anyflip
Permohonan Perjalanan Keluar Negara Dan Insuran
Tbs Perlindungan Insurans Penumpang T P I P
Soalan Soalan Lazim Skim Perlindungan Takaful Ptptn
Permohonan Perjalanan Keluar Negara Dan Insuran
Borang Permohonan Perlindungan Insurans Kesihatan Ke Luar Negara Negara Ketiga Honnexst
Borang Permohonan Perlindungan Insurans Kesihatan Ke Luar Negara Negara Ketiga Honnexst
Borang Permohonan Kemudahan Perlindungan Insurans Kesihatan Ke Luar Negara Oustacle



